E La Infinit





Limita Cand X Tinde La Infinit Din X Ori E La Minus X Brainly Ro

Limita Cand X Tinde La Infinit Din X Ori E La Minus X Brainly Ro

Cazul De Exceptie 1 La Infinit Numarul E Euler1 Youtube

Cazul De Exceptie 1 La Infinit Numarul E Euler1 Youtube

Limite Remarcabile Limita Euler Numarul Lui Euler Youtube

Limite Remarcabile Limita Euler Numarul Lui Euler Youtube

Limita Cand X Tinde La Infinit Din Eˣ Ax X Brainly Ro

Limita Cand X Tinde La Infinit Din Eˣ Ax X Brainly Ro

Limite La Infinit Youtube

Limite La Infinit Youtube

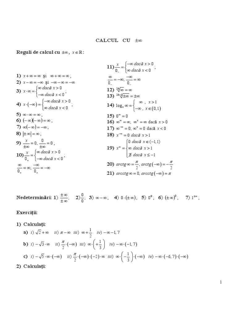
Calcule Cu Infinit

Calcule Cu Infinit

Calcule Cu Infinit

Cazul De Exceptie 1 La Infinit Exercitii Rezolvate Youtube

Cazul De Exceptie 1 La Infinit Exercitii Rezolvate Youtube

1 Lim Cand X Tinde La Infinit Din 2 La Puterea X Lim X Gt 0 Din 2 X 2 Lim Cand X Tinde La 0 Brainly Ro

1 Lim Cand X Tinde La Infinit Din 2 La Puterea X Lim X Gt 0 Din 2 X 2 Lim Cand X Tinde La 0 Brainly Ro

Rezolvarea Cazului De Exceptie 1 La Infinit Numarul E Aplicatii Euler3 Youtube

Rezolvarea Cazului De Exceptie 1 La Infinit Numarul E Aplicatii Euler3 Youtube

Calculați Lim Cand X Tinde La Infinit Din E X 1 Ln X 2 X Mulțumesc Brainly Ro

Calculați Lim Cand X Tinde La Infinit Din E X 1 Ln X 2 X Mulțumesc Brainly Ro

Formule Matematica Siruri Limite De Siruri Operatii Cu Plus Si Minus Infinit Puteri

Formule Matematica Siruri Limite De Siruri Operatii Cu Plus Si Minus Infinit Puteri

Formule Matematica Siruri Limite De Siruri Operatii Cu Plus Si Minus Infinit Catul

Formule Matematica Siruri Limite De Siruri Operatii Cu Plus Si Minus Infinit Catul

Limite De Functii Cazul De Exceptie 1 La Infinit

Limite De Functii Cazul De Exceptie 1 La Infinit

Plan De Lecție Limitele La Infinit Ale Funcțiilor Polinomiale și Raționale Geogebra

Plan De Lecție Limitele La Infinit Ale Funcțiilor Polinomiale și Raționale Geogebra

Rezolvarea Cazului De Exceptie 1 La Infinit Aplicatie Euler2 Youtube

Rezolvarea Cazului De Exceptie 1 La Infinit Aplicatie Euler2 Youtube

A Se Contopi A Coincide Dreaptă Asociată Unei Curbe Plane Cu Puncte La Infinit Astfel Incat Atunci Cand Un Punct Al Curbei Se Deplasează Spre Infinit Distanţa Sa De La Dreaptă Tinde

A Se Contopi A Coincide Dreaptă Asociată Unei Curbe Plane Cu Puncte La Infinit Astfel Incat Atunci Cand Un Punct Al Curbei Se Deplasează Spre Infinit Distanţa Sa De La Dreaptă Tinde

L Infinito Wikipedia

L Infinito Wikipedia

Calculati Limita Cand X Tinde La Infinit Din F X F X X X 2 3x 2 Brainly Ro

Calculati Limita Cand X Tinde La Infinit Din F X F X X X 2 3x 2 Brainly Ro

Formule Matematica Siruri Limite De Siruri Operatii Cu Plus Si Minus Infinit Produsul

Formule Matematica Siruri Limite De Siruri Operatii Cu Plus Si Minus Infinit Produsul

I N T R E T I M P Albastru Infinit Facebook

I N T R E T I M P Albastru Infinit Facebook

Source : pinterest.com